Attualità
Einstein ha ancora ragione: la velocità della luce non cambia (e la “Nuova Fisica” deve aspettare altre prove))
Einstein ha ancora ragione: il test estremo sulla velocità della luce conferma la Relatività (e delude la Nuova Fisica) Sottotitolo: Analizzati i raggi gamma più potenti dell’universo: nessun segno di “cedimento” nelle leggi della fisica.

Albert Einstein continua a vincere. A oltre un secolo dalla sua formulazione, la Relatività Speciale resiste all’ennesimo assalto. Nonostante gli sforzi teorici e sperimentali per trovare una crepa nel muro della velocità della luce costante, l’universo sembra voler confermare che le regole del vecchio Albert sono solide come la roccia.
Un recente studio pubblicato su Physical Review D ha tentato di scardinare l’Invarianza di Lorentz – il principio cardine secondo cui le leggi della fisica sono identiche per tutti gli osservatori, indipendentemente dal loro moto – utilizzando i raggi gamma più potenti dell’universo. Il risultato? Nessuna violazione rilevata. Ma andiamo con ordine, perché la questione è tecnica e affascinante.
Il “Disastro” che non c’è stato
Tutto nasce da un paradosso storico: nel 1887, l’esperimento di Michelson-Morley fallì nel rilevare l’etere, portando Einstein a postulare che la velocità della luce è costante e non dipende dal mezzo che viene attraversato. Oggi, ironicamente, i fisici cercano un nuovo “fallimento” della teoria di Einstein per far posto alla Gravità Quantistica.
Il problema di fondo è noto agli addetti ai lavori: la Relatività Generale (che spiega la gravità come curvatura dello spaziotempo) e la Meccanica Quantistica (che regola le particelle) non si parlano. Sono come due banche centrali con politiche monetarie opposte: funzionano benissimo da sole, ma insieme creano il caos.
Per unificarle in una “Teoria del Tutto”, molti modelli prevedono che a energie estreme lo spaziotempo diventi “granuloso”, rallentando o accelerando impercettibilmente i fotoni. Si torna a cercare di dimostrare che la velocità della Luce non è costante, ma varia, esattamente come si cercava di fare dimostrando l’esistenza dell’etere.
L’esperimento: usare il cosmo come laboratorio
Un team guidato da ricercatori dell’UAB e dell’IEEC ha deciso di non fidarsi delle teorie e di guardare i dati. Hanno analizzato raggi gamma ad altissima energia provenienti da sorgenti cosmiche distanti.
L’idea è semplice ma geniale:
Se la “Nuova Fisica” esiste, i fotoni a energia più alta dovrebbero viaggiare a una velocità leggermente diversa da quelli a bassa energia.
Su distanze cosmiche, questo ritardo infinitesimale dovrebbe accumularsi e diventare misurabile.
Ebbene, i dati hanno parlato chiaro: nessun ritardo. I fotoni, indipendentemente dalla loro energia, arrivano “in orario”, rispettando perfettamente la tabella di marcia prevista da Einstein.
Lo studio non si è limitato a dire “no”. Ha ristretto i limiti per la violazione dell’Invarianza di Lorentz di un ordine di grandezza. In pratica, se esiste una nuova fisica nascosta lì dentro, è confinata in uno spazio ancora più piccolo e irrilevante di quanto pensassimo.
Il trionfo del metodo empirico
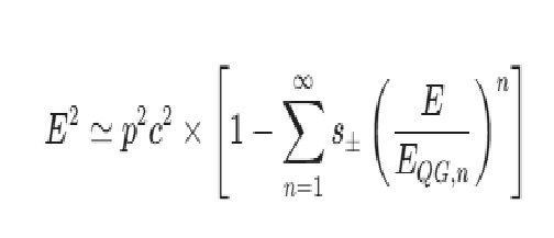
Gli scienziati hanno utilizzato l’estensione del Modello Standard (SME) per parametrizzare queste possibili violazioni. La formula di dispersione testata era del tipo:
Dove E{QG} rappresenta la scala di energia della gravità quantistica. Il fatto che i termini di violazione siano risultati nulli o trascurabili è una doccia fredda per chi sperava in una rapida rivoluzione teorica, ma è una vittoria per il rigore scientifico. Einstein vince, e il modello generale e la fisica quantistica restano ancora separate.
A differenza di certe narrative economiche che persistono nonostante i dati contrari (qualcuno ha detto austerity?), la fisica accetta il verdetto sperimentale. Einstein regge. La velocità della luce $c$ rimane l’ancora di salvezza in un universo caotico. Per ora, la rivoluzione è rimandata.
Domande e risposte
Perché è così importante trovare una violazione della velocità della luce?
Perché sarebbe la “pistola fumante” della Gravità Quantistica. Attualmente abbiamo due teorie eccellenti (Relatività e Quantistica) che matematicamente non si incastrano. Trovare una variazione nella velocità della luce ad alte energie significherebbe scoprire l’anello mancante che le unisce, aprendo le porte a una nuova comprensione dell’universo, dai buchi neri al Big Bang.
Cos’è l’Invarianza di Lorentz in parole povere?
È il principio democratico della fisica: le leggi della natura non cambiano a seconda di come ti muovi. Se viaggi su un treno o stai fermo, la velocità della luce che misuri è sempre la stessa ($c$). Se questo principio cadesse, cambierebbe la nostra comprensione fondamentale dello spazio e del tempo, suggerendo che lo “sfondo” dell’universo non è liscio ma “pixelato” o strutturato.
Questo risultato significa che la Gravità Quantistica non esiste?
No, ma restringe il campo. Significa che le teorie che prevedevano effetti macroscopici o facilmente rilevabili sulla velocità della luce sono probabilmente errate. La “Nuova Fisica” potrebbe nascondersi a livelli di energia ancora più alti, irraggiungibili con gli attuali strumenti, oppure manifestarsi in modi che non coinvolgono la velocità dei fotoni. La caccia continua, ma il recinto si è stretto.








You must be logged in to post a comment Login